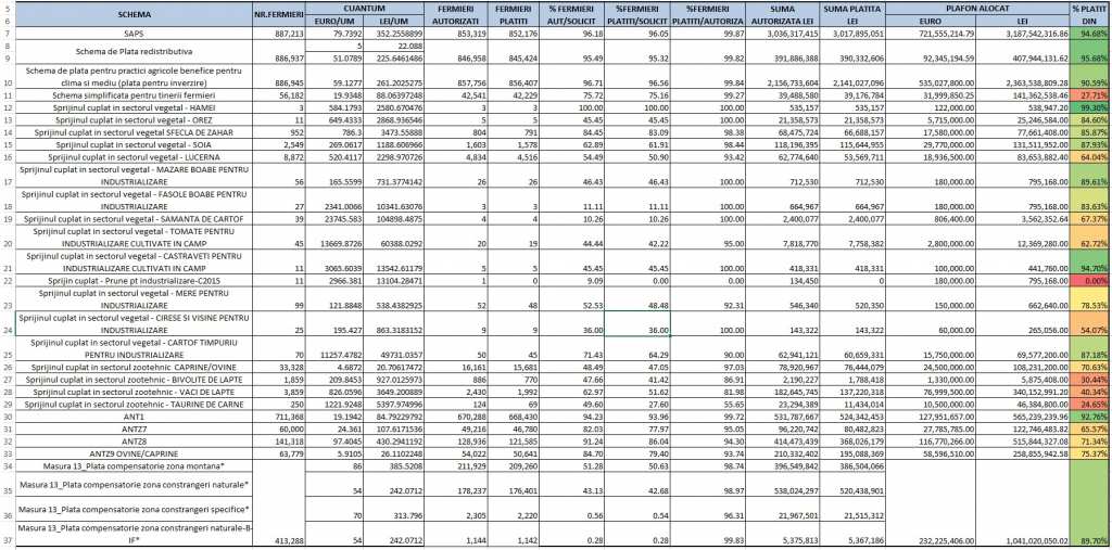
Agentia de Plati si Interventie pentru Agricultura a prezentat luni situatia autorizarilor si platilor pentru subventii, aferente Campaniei 2015. Conform datelor APIA, cele mai multe plati din plafonul alocat au fost realizate pe schema Sprijin Cuplat in sectorul vegetal – Hamei (99,30%).
De asemenea, APIA a platit 95,68% din plafonul alocat si pentru schema „Plata redistributiva” (95.68%). Agentia de Plati informeaza totodata ca si in cadrul schemei SAPS a fost platit un procent de 94.68% din plafonul alocat, mai exact 3,017,895,051 lei, pentru 852,176 de fermieri.
Pe de alta parte, cele mai putine plati din plafonul alocat au fost realizate de APIA pe schema simplificata pentru tineri fermieri (27,71% din suma alocata a fost platita fermierilor). De asemenea, plati sub 50% din plafonul alocat au fost realizate de APIA si pe schemele SCZ bivolite de lapte (30,44%), SCZ vaci de lapte (40.34%), SCZ taurine de carne (24.65%).
Situatia autorizarilor si platilor pentru subventii, aferente Campaniei 2015 (Click pe imagine pentru a mari)
Directorul general al APIA, Nicolae Horumba, a precizat in cadrul unei conferinte ca unul dintre principalele motive de intarziere a platii subventiilor este si faptul ca unele cereri au fost depuse incomplet si uneori chiar incorect.
„Pentru a autoriza cereri de plata, trebuie ca acestea sa fie verificate. Cererile nu au fost depuse mereu corect si complet. De exemplu, au fost inregistrari eronate in baza nationala de date care au necesitat alte documente doveditoare din partea fermierilor. In alte cazuri, fermierii nu au putut prezenta documente doveditoare privind miscarea animalelor si inregistrarea produsilor la vacile de lapte. De asemenea, pentru un numar mare de erori este necesar sa efectuam clarificari cu fermierii. Acestia sunt contactati de APIA sa se prezinte la sediu si sa vina cu documente doveditoare. Vineri erau 10.049 de erori in 1.288 de cereri, care prelungesc termenele la care fermierii isi primesc banii”, a mai spus directorul general APIA.
Potrivit sefului APIA, din fondurile totale alocate Campaniei 2015 au fost platite pana in prezent subventii in valoare de 1,9 miliarde de euro (91%), pentru 920.000 de fermieri, din fondurile totale de 2,1 miliarde de euro.





